Features
Hairtail+ 800G IB NDR OSFP Breakout to 2xOSFP Direct Attached Cable
Replace Nvidia MCP7Y00-Nxxx

Absolute Maximum Ratings
| Parameter | Symbol | Min | Typical | Max | Unit |
| Supply Voltage | Vcc | 3.13 | 3.3 | 3.47 | V |
| Storage temperature | Ts | -40 | 85 | ℃ | |
| Operating Case temperature | Tc | 0 | 70 | ℃ | |
| Humidity | Rh | 5 | 85 | % | |
| Data Rate | 800 | Gbps |
Physical Characteristics
| Parameter | Symbol | Min | Typical | Max | Unit |
| Length | L | 0.5 | 3.0 | M | |
| AWG | 28 | 25 | AWG | ||
| Jacket material | HAIRTAIL+ Technology Net, Sliver Gray | ||||
Electrical Specifications
| Parameter | Symbol | Min | Typical | Max | Unit | |
| Resistance | Rcon | 3 | ohm | |||
| Insulation Resistance | Rins | 10 | Mohm | |||
| Raw cable impedance | Zca | 95 | 100 | 110 | ohm | |
| Mated connector Impedance | Zmated | 85 | 100 | 115 | ohm | |
|
Maximum insertion loss at 26.56 GHz |
SDD21 | 11 | 18 | 1.5M | dB | |
| 19.75 | 2.0M | |||||
| 25.3 | 1.5M | |||||
|
Differential to common-mode return loss |
SCD11/2 2 |
For 0.05 ≤f ≤40 GHz, Where f is the frequency in GHz |
dB | |||
|
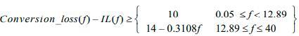
Differential to common-mode conversion loss |
SCD21-S DD21 |
For 0.05 ≤f ≤40 GHz, Where f is the frequency in GHz |
dB | |||
|
Common-mode to common-mode return loss |
SCC11/2 2 |
RLcc(f)≥1.8 For 0.05 ≤f ≤40 GHz, Where f is the frequency in GHz |
dB | |||
| Minimum COM | COM | 3 | dB | |||
Pin Description

Electrical Pin-out Details for OSFP


Module Memory Map
Compatible with CMIS rev 5.0 or further CMIS revisions and customer spec.
Mechanical Dimensions


| P0 END | P1 & P2 END | ||||||
| GAUGE | OD | BEND RADIUS ”R” | MIN. BEND RADIUS ”L” | GAUGE | OD | BEND RADIUS ”R” | MIN. BEND RADIUS ”L” |
| 28AWG | 10.2MM | 21MM | 81MM | 28AWG | 7.0MM | 14MM | 75MM |
| 26/25AWG | 12.1MM | 25MM | 85MM | 26/25AWG | 8.3MM | 17MM | 78MM |
Ordering Information
| Model Number | Description |
| DAC-1X2-8/4-M5 | 800G IB NDR OSFP to 2xOSFP DAC,Hairtail+,0.5m, 28AWG, Sliver Gray. |
| DAC-1X2-8/4-1M | 800G IB NDR OSFP to 2xOSFP DAC,Hairtail+,1.0m, 28AWG, Sliver Gray. |
| DAC-1X2-8/4-1M5 | 800G IB NDR OSFP to 2xOSFP DAC,Hairtail+,1.5m, 26/25AWG, Sliver Gray. |
| DAC-1X2-8/4-2M | 800G IB NDR OSFP to 2xOSFP DAC,Hairtail+,2.0m, 26/25AWG, Sliver Gray. |
| DAC-1X2-8/4-2M5 | 800G IB NDR OSFP to 2xOSFP DAC,Hairtail+,2.5m, 25AWG, Sliver Gray. |
| DAC-1X2-8/4-3M | 800G IB NDR OSFP to 2xOSFP DAC,Hairtail+,3.0m,25AWG, Sliver Gray. |
References
Want to know about this product?
If you are interested in our products and want to know more details,please leave a message here,we will reply you as soon as we can.